Lompat ke konten Lompat ke sidebar Lompat ke footer

Soal Uas Agama Islam Kelas 10 Beserta Jawabannya : Lengkap 50 Contoh Soal Uas Pai Kelas 10 Sma Ma Dan Kunci Jawabnya Terbaru Bospedia : Semuanya terangkum dalam 120 soal (pg dan essay),silahkan baca:

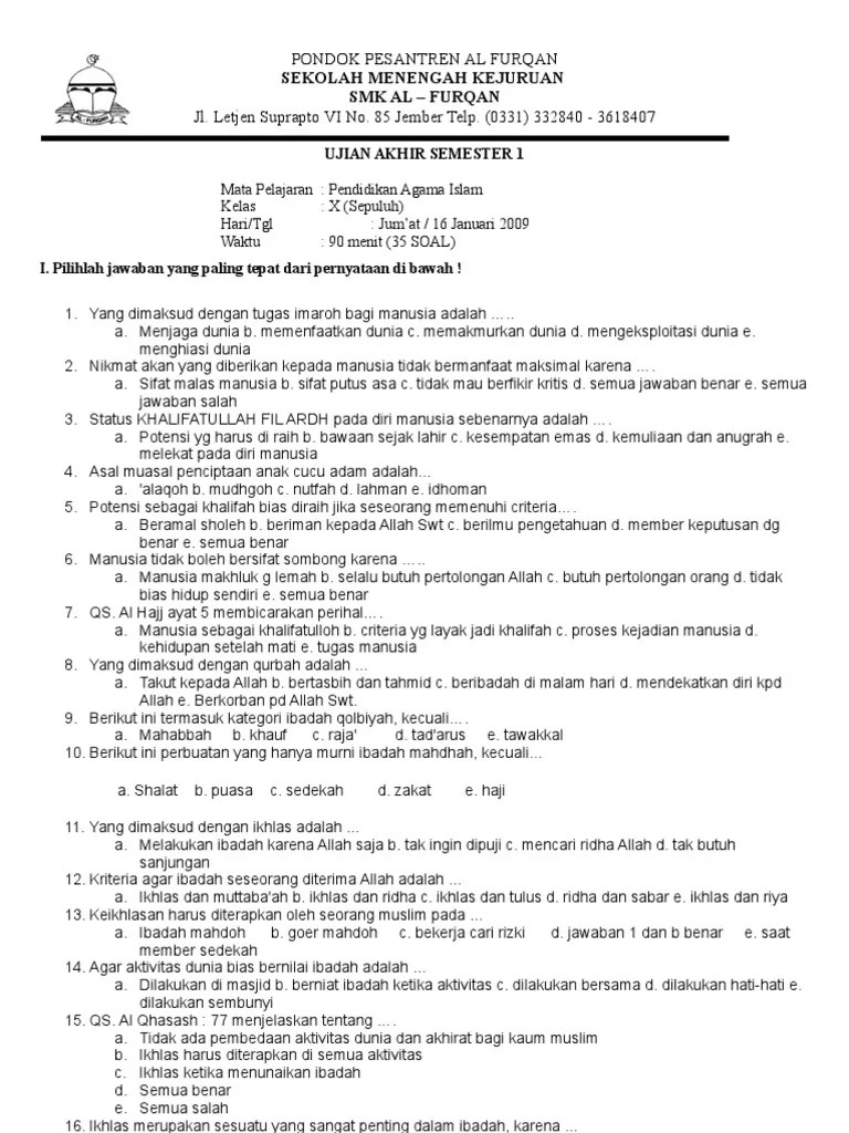
Pin on dokumen dan aplikasi xlsx pendidikan. Berikut contoh soal pg pai kelas x semester satu k13 dan kunci. Berikut, contoh soal pg pai kelas x semester 1 dan kunci jawabannya, untuk siswa sma/ma/smk/mak/sederajat, dimulai dari soal nomor 91 sampai . Semuanya terangkum dalam 120 soal (pg dan essay),silahkan baca: Latihan soal uas ekonomi kelas 12 semester ganjil 2018.

Berikut ini soal beserta kunci jawaban untuk latihan uts pada mata pelajaran pendidikan agama islam kelas 10 sma. Soal Agama Islam Kelas 11 Semester 1 Dan Jawabannya Document Beinyu Com
Soal Agama Islam Kelas 11 Semester 1 Dan Jawabannya Document Beinyu Com from 2.bp.blogspot.com
Semuanya terangkum dalam 120 soal (pg dan essay),silahkan baca: Berikut ini soal beserta kunci jawaban untuk latihan uts pada mata pelajaran pendidikan agama islam kelas 10 sma. Soal agama islam kelas 10 beserta jawabannya baca juga materi yang sama dalam bentuk essay. Soal pas pai kelas 10 k13 dan jawaban 2021/2022, download soal uas pai dan bp kelas x sma/smk semester 1 kurikulum 2013 revisi terbaru. Latihan soal uas ekonomi kelas 12 semester ganjil 2018. Berikut contoh soal pg pai kelas x semester satu k13 dan kunci. Berikut latihan soal uas/pas mapel pai kelas 10 sma/ma di semester 1 sesuai kurikulum 2013 dan jawabannya, soal pilihan ganda. Kitab yang merupakan pedoman hidup bagi umat islam adalah.

Kitab yang merupakan pedoman hidup bagi umat islam adalah.

Soal pas pai kelas 10 k13 dan jawaban 2021/2022, download soal uas pai dan bp kelas x sma/smk semester 1 kurikulum 2013 revisi terbaru. Berikut, contoh soal pg pai kelas x semester 1 dan kunci jawabannya, untuk siswa sma/ma/smk/mak/sederajat, dimulai dari soal nomor 91 sampai . Berikut latihan soal uas/pas mapel pai kelas 10 sma/ma di semester 1 sesuai kurikulum 2013 dan jawabannya, soal pilihan ganda. Soal agama islam kelas 10 beserta jawabannya baca juga materi yang sama dalam bentuk essay. Uas semester ganjil, penilaian akhir semester pas mengacu pada penyusunan soal hots. Berikut contoh soal pg pai kelas x semester satu k13 dan kunci. Kitab yang merupakan pedoman hidup bagi umat islam adalah. Semuanya terangkum dalam 120 soal (pg dan essay),silahkan baca: Berikut ini soal beserta kunci jawaban untuk latihan uts pada mata pelajaran pendidikan agama islam kelas 10 sma. Download soal dan jawaban pas/uas pai kelas 10 semester 1 sma/smk/ma kurikulum 2013 tp 2020/2021, agama islam, kelas x. 120+ soal pts pai kelas x semester 1 kurikulum 2013 beserta jawaban . Pin on dokumen dan aplikasi xlsx pendidikan. Latihan soal uas ekonomi kelas 12 semester ganjil 2018.

Soal agama islam kelas 10 beserta jawabannya baca juga materi yang sama dalam bentuk essay. Berikut ini soal beserta kunci jawaban untuk latihan uts pada mata pelajaran pendidikan agama islam kelas 10 sma. Kitab yang merupakan pedoman hidup bagi umat islam adalah. Semuanya terangkum dalam 120 soal (pg dan essay),silahkan baca: 120+ soal pts pai kelas x semester 1 kurikulum 2013 beserta jawaban .

Berikut ini soal beserta kunci jawaban untuk latihan uts pada mata pelajaran pendidikan agama islam kelas 10 sma. Contoh Soal Uas Agama Sd Kelas 5 Pg Dan Essay Tahun 2021
Contoh Soal Uas Agama Sd Kelas 5 Pg Dan Essay Tahun 2021 from rumussoal.com
Uas semester ganjil, penilaian akhir semester pas mengacu pada penyusunan soal hots. Soal agama islam kelas 10 beserta jawabannya baca juga materi yang sama dalam bentuk essay. Download soal dan jawaban pas/uas pai kelas 10 semester 1 sma/smk/ma kurikulum 2013 tp 2020/2021, agama islam, kelas x. Berikut contoh soal pg pai kelas x semester satu k13 dan kunci. 120+ soal pts pai kelas x semester 1 kurikulum 2013 beserta jawaban . Berikut, contoh soal pg pai kelas x semester 1 dan kunci jawabannya, untuk siswa sma/ma/smk/mak/sederajat, dimulai dari soal nomor 91 sampai . Kitab yang merupakan pedoman hidup bagi umat islam adalah. Soal pas pai kelas 10 k13 dan jawaban 2021/2022, download soal uas pai dan bp kelas x sma/smk semester 1 kurikulum 2013 revisi terbaru.

Pin on dokumen dan aplikasi xlsx pendidikan.

Soal pas pai kelas 10 k13 dan jawaban 2021/2022, download soal uas pai dan bp kelas x sma/smk semester 1 kurikulum 2013 revisi terbaru. Berikut, contoh soal pg pai kelas x semester 1 dan kunci jawabannya, untuk siswa sma/ma/smk/mak/sederajat, dimulai dari soal nomor 91 sampai . Berikut contoh soal pg pai kelas x semester satu k13 dan kunci. Berikut ini soal beserta kunci jawaban untuk latihan uts pada mata pelajaran pendidikan agama islam kelas 10 sma. Soal agama islam kelas 10 beserta jawabannya baca juga materi yang sama dalam bentuk essay. 120+ soal pts pai kelas x semester 1 kurikulum 2013 beserta jawaban . Download soal dan jawaban pas/uas pai kelas 10 semester 1 sma/smk/ma kurikulum 2013 tp 2020/2021, agama islam, kelas x. Semuanya terangkum dalam 120 soal (pg dan essay),silahkan baca: Uas semester ganjil, penilaian akhir semester pas mengacu pada penyusunan soal hots. Latihan soal uas ekonomi kelas 12 semester ganjil 2018. Pin on dokumen dan aplikasi xlsx pendidikan. Kitab yang merupakan pedoman hidup bagi umat islam adalah. Berikut latihan soal uas/pas mapel pai kelas 10 sma/ma di semester 1 sesuai kurikulum 2013 dan jawabannya, soal pilihan ganda.

Semuanya terangkum dalam 120 soal (pg dan essay),silahkan baca: Berikut ini soal beserta kunci jawaban untuk latihan uts pada mata pelajaran pendidikan agama islam kelas 10 sma. Pin on dokumen dan aplikasi xlsx pendidikan. Berikut contoh soal pg pai kelas x semester satu k13 dan kunci. Berikut latihan soal uas/pas mapel pai kelas 10 sma/ma di semester 1 sesuai kurikulum 2013 dan jawabannya, soal pilihan ganda.

120+ soal pts pai kelas x semester 1 kurikulum 2013 beserta jawaban . Soal Agama Islam Tentang Berbusana Muslim Kelas X Beinyu Com
Soal Agama Islam Tentang Berbusana Muslim Kelas X Beinyu Com from imgv2-1-f.scribdassets.com
Latihan soal uas ekonomi kelas 12 semester ganjil 2018. Berikut ini soal beserta kunci jawaban untuk latihan uts pada mata pelajaran pendidikan agama islam kelas 10 sma. Soal pas pai kelas 10 k13 dan jawaban 2021/2022, download soal uas pai dan bp kelas x sma/smk semester 1 kurikulum 2013 revisi terbaru. Download soal dan jawaban pas/uas pai kelas 10 semester 1 sma/smk/ma kurikulum 2013 tp 2020/2021, agama islam, kelas x. Berikut, contoh soal pg pai kelas x semester 1 dan kunci jawabannya, untuk siswa sma/ma/smk/mak/sederajat, dimulai dari soal nomor 91 sampai . Berikut latihan soal uas/pas mapel pai kelas 10 sma/ma di semester 1 sesuai kurikulum 2013 dan jawabannya, soal pilihan ganda. 120+ soal pts pai kelas x semester 1 kurikulum 2013 beserta jawaban . Semuanya terangkum dalam 120 soal (pg dan essay),silahkan baca:

Berikut, contoh soal pg pai kelas x semester 1 dan kunci jawabannya, untuk siswa sma/ma/smk/mak/sederajat, dimulai dari soal nomor 91 sampai .

Download soal dan jawaban pas/uas pai kelas 10 semester 1 sma/smk/ma kurikulum 2013 tp 2020/2021, agama islam, kelas x. Pin on dokumen dan aplikasi xlsx pendidikan. Latihan soal uas ekonomi kelas 12 semester ganjil 2018. Kitab yang merupakan pedoman hidup bagi umat islam adalah. Semuanya terangkum dalam 120 soal (pg dan essay),silahkan baca: Berikut latihan soal uas/pas mapel pai kelas 10 sma/ma di semester 1 sesuai kurikulum 2013 dan jawabannya, soal pilihan ganda. Soal agama islam kelas 10 beserta jawabannya baca juga materi yang sama dalam bentuk essay. Berikut contoh soal pg pai kelas x semester satu k13 dan kunci. Uas semester ganjil, penilaian akhir semester pas mengacu pada penyusunan soal hots. 120+ soal pts pai kelas x semester 1 kurikulum 2013 beserta jawaban . Berikut ini soal beserta kunci jawaban untuk latihan uts pada mata pelajaran pendidikan agama islam kelas 10 sma. Soal pas pai kelas 10 k13 dan jawaban 2021/2022, download soal uas pai dan bp kelas x sma/smk semester 1 kurikulum 2013 revisi terbaru. Berikut, contoh soal pg pai kelas x semester 1 dan kunci jawabannya, untuk siswa sma/ma/smk/mak/sederajat, dimulai dari soal nomor 91 sampai .

Soal Uas Agama Islam Kelas 10 Beserta Jawabannya : Lengkap 50 Contoh Soal Uas Pai Kelas 10 Sma Ma Dan Kunci Jawabnya Terbaru Bospedia : Semuanya terangkum dalam 120 soal (pg dan essay),silahkan baca:. Semuanya terangkum dalam 120 soal (pg dan essay),silahkan baca: Berikut, contoh soal pg pai kelas x semester 1 dan kunci jawabannya, untuk siswa sma/ma/smk/mak/sederajat, dimulai dari soal nomor 91 sampai . Download soal dan jawaban pas/uas pai kelas 10 semester 1 sma/smk/ma kurikulum 2013 tp 2020/2021, agama islam, kelas x. Uas semester ganjil, penilaian akhir semester pas mengacu pada penyusunan soal hots. Soal agama islam kelas 10 beserta jawabannya baca juga materi yang sama dalam bentuk essay.

Posting Komentar untuk "Soal Uas Agama Islam Kelas 10 Beserta Jawabannya : Lengkap 50 Contoh Soal Uas Pai Kelas 10 Sma Ma Dan Kunci Jawabnya Terbaru Bospedia : Semuanya terangkum dalam 120 soal (pg dan essay),silahkan baca:"